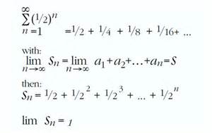
Entry 23: Still on the Move– Zeno was a puzzling fellow: The hapless French knights in the previous entry would have been more than grateful had his arrow paradox been, in fact, true. I cannot improve on the account given in Wikipedia: In the arrow paradox (also known as the fletcher’s paradox), Zeno states that for motion to occur, an object must change the position which it occupies. He gives an example of an arrow in flight. He states that in any one (duration-less) instant of time, the arrow is neither moving to where it is, nor to where it is not. It cannot
move to where it is not, because no time elapses for it to move there; it cannot move to where it is, because it is already there. In other words, at every instant of time there is no motion occurring. If everything is motionless at every instant, and time is entirely composed of instants, then motion is impossible.
Diogenes of Sinope, also known as “Diogenes the Cynic”, is said to have replied to the argument that motion is unreal by standing up and walking away. This is known as solvitur ambulando which is Latin for, It is solved by
walking. Nonetheless, Bertrand Russell in the 20th Century has called the paradoxes of Zeno “immeasurably subtle and profound”. So why did he leave us such fiendish paradoxes to contemplate? Gazing at the idealised marble statues of the philosophers of antiquity may prompt us to ascribe the love of abstract thought as the motivation.
But I suspect it is in the heart rather than the head that we will find the true motive. Plato reports that Zeno was “tall and fair to look upon” and was “in the days of his youth … to have been beloved by Parmenides”, his teacher. Crucially, according to Plato, the writings of Zeno, including the paradoxes were “meant to protect the arguments of Parmenides“. Where do we look, then, for the philosophers who can tell us of the paradoxes of the human heart?
Thankfully, we don’t have to search too far in time or place. Carson McCullers at the age of 23, published her first novel, The Heart is a Lonely Hunter, in 1940. This frail, illness-
stricken young woman, had the constitution of a sickly bird but the heart of a classical hero. Her characters seek for meaning and connection in a hostile world within wonderfully titled works such as Reflections in a Golden Eye, The Ballad of the Sad Café and The Square Root of Wonderful.
She, herself, was like a character from her fiction. Married at age 20 to an ex-soldier, Reeves McCullers, who was also an aspiring writer, she began work on her first novel. The marriage didn’t last and in 1941 she left for New York to live with George Davis the editor of Harper’s Bazaar, becoming a member of an arts commune in Brooklyn. Her friends included W. H. Auden, Benjamin Britten, Gypsy Rose Lee, and Paul and Jane Bowles. After World War II, McCullers lived mostly in Paris where she re-married Reeves
McCullers. Her close friends during these years included Truman Capote and Tennessee Williams.
In 1948 she became severely depressed and attempted suicide. In 1953, Reeves tried to convince her to commit suicide with him, but she fled and Reeves killed himself in their Paris hotel with an overdose of sleeping pills. She returned to the US and lived her final years in Nyack, a small town outside New York City where she died of a brain haemorrhage at age 50 in 1967. Had she lived another 40 years to reveal, perhaps, a prequel to her most famous novel, who knows, she might have had to endure the damning with faint praise I witnessed recently on the ABC’s premier TV book show where her near-contemporary, Harper Lee’s book, Go Set a Watchman, was reviewed.
She is buried in Oak Hill cemetery where you will also find Edward Hopper, the artist who
painted one of the great scenes of 20th Century American Art in his picture Nighthawks, set in an all-night diner on a street corner in New York City. I’ll conclude by quoting from the poem where, on the advice of her editor, Carson McCullers found the title for her first novel. The poem, The Lonely Hunter, is by Scottish writer William Sharpe, who, as a member of the Celtic Revival of the 1890s, wrote under the pseudonym, Fiona McCloud.
This he kept a closely-held secret. Yeats, (in a literary irony or, at least, curiosity,) found the work of McCloud acceptable but not that of Sharpe. He later worked out that Sharpe and McCloud were, in fact, the same person.
What are all songs for me, now, who no more care to sing?/Deep in the heart of Summer, sweet is life to me still,/But my heart is a lonely hunter that hunts on a lonely hill./Green is that hill and lonely, set far in a shadowy place;/White is the hunter’s quarry, a lost-loved human face:/O hunting heart, shall you find it, with arrow of failing breath,/Led o’er a green hill lonely by the shadowy hound of Death?
Discover more from Quentin Bega's Blog
Subscribe to get the latest posts sent to your email.
